目录

消费者信心指数

第一章:解读

整体趋势概览

从2007年到2026年初这近20年的数据来看,中国消费者信心整体呈现“先高后低,近期低位徘徊”的波浪形走势。

  • 长期趋势:可以大致分为三个阶段:

    1. 高位运行期(2007-2017年):在2017年10月达到历史最高点(123.9)。这十年间,尽管有波动,但消费者信心指数、满意指数和预期指数大部分时间都在100分以上,表明消费者整体心态积极。
    2. 高位盘整与转折期(2018-2021年):指数在历史高位附近震荡,但增长势头放缓。2020年初新冠疫情冲击导致指数短暂大幅下滑,随后在政策支持下出现“V型”反弹,于2021年初再次冲高。
    3. 深度下滑与低位盘整期(2022年至今):这是最关键的转折点。2022年4月,消费者信心指数骤降至86.7,创下数据记录以来的最低点,并从此跌破了100的“荣枯线”。此后至今(2026年1月),指数一直在90分上下窄幅波动,未能回到100以上,处于历史较低水平。
  • 关键高点与低点

    • 历史最高点:2017年10月,信心指数达123.9。
    • 历史最低点:2022年4月,信心指数骤降至86.7。
    • 重要转折点:2022年第二季度,指数跌破100并持续至今,标志着消费者信心进入一个长期的、相对低迷的阶段。

近期动态分析

聚焦最近两年(2024年1月至2026年1月)的数据:

  • 近期表现:消费者信心指数在85至91之间窄幅波动,最新数据(2026年1月)为90.6。这远低于100的积极水平,也显著低于2017-2021年的高位(110-125区间),处于近20年来的历史低位
  • 增长态势分析
    • 环比增长(本月比上月):近期波动很小,大部分月份环比变化在±1%以内,显示信心状态趋于稳定,但缺乏强劲的回升动力。
    • 同比增长(今年比去年同月):这是更关键的信号。从2023年中的深度负增长(-20%至-30%),到2024年大部分时间在零增长附近徘徊,再到2025年下半年以来,同比增长率持续转为正数(2026年1月为+3.54%)。这表明,虽然绝对指数值仍低,但下滑趋势已经止住,并开始出现缓慢的、微弱的改善迹象

简单说:近期消费者信心处于“低位企稳,略有回暖”的状态。就像一个人病后初愈,虽然身体还很虚弱(指数值低),但已经不再恶化(同比转正),正在慢慢恢复元气。

核心指标解读

  1. 指数值意味着什么?

    • 通常,100是“荣枯线”。高于100,意味着消费者整体上对经济现状和未来感到满意和乐观;低于100,则意味着信心不足,偏向悲观。
    • 当前数值(2026年1月为90.6):明确处于100以下,说明消费者信心整体偏弱,对经济和个人财务状况的乐观程度不足。
  2. “满意”与“预期”的差异

    • 长期来看,预期指数通常略高于满意指数,意味着人们对未来总比当下更抱有一些希望。
    • 近期观察(2025年下半年以来):一个积极变化是,满意指数的同比增长开始频繁地超过预期指数(例如2025年9月、10月、11月)。这可能意味着,消费者对“当下”的感受(如收入、就业、物价)的改善感知,开始追上甚至超过对“未来”的期待。这是一个好信号,说明信心的修复可能正从“感知现实改善”这个更扎实的基础上开始。
  3. 显著波动与可能关联

    • 2022年4月断崖式下跌:指数从3月的113.2暴跌至86.7。这极有可能与当时国内部分城市采取严格的疫情防控措施,对居民生活、工作和收入预期造成巨大冲击有关。
    • 季节性波动:数据中常出现“春节效应”,即每年1月或2月(春节前后)指数有时会冲高(如2017、2018、2021年春节),这与节日消费旺季、发放年终奖等因素带来的短期乐观情绪有关。但在信心低迷期(如2022、2023年春节),这种效应明显减弱或消失。
    • 2025年下半年以来的缓慢爬升:同比增长率持续转正,可能反映了稳增长、促消费政策逐步显效,以及经济自身修复动能累积的影响。

关键洞察总结

  1. 总体状态:当前中国消费者信心处于历史低位盘整、初现缓慢修复迹象的阶段。信心已止住下滑势头,但回升力度微弱,远未恢复到积极区间。
  2. 风险点与积极信号
    • 最值得关注的风险:信心指数在90以下的低位徘徊时间过长,可能形成“低信心-低消费-经济低增长”的循环,阻碍经济复苏。
    • 最值得关注的积极信号同比增长数据自2025年下半年以来持续转正,且消费者对当前状况的“满意度”改善速度有时快于“预期”,表明信心的地基正在被现实感受的微弱改善所夯实。
  3. 一句话概括心态:消费者对经济前景普遍持 “谨慎观望,微弱期待” 的心态,不再恐慌下滑,但对强劲反弹也信心不足。

第二章:专业分析

一、总体趋势与周期特征

  • 长期趋势分析: 自2007年1月至2026年1月的19年间,中国消费者信心指数(CCI)呈现出显著的“先扬后抑,低位企稳”的长期轨迹。整体可分为三个阶段:

    1. 高位运行期(2007-2017年):指数在100-125的区间内宽幅震荡,中枢约在110左右。尤其在2016年下半年至2018年初,指数进入历史最高区间,于2017年10月达到峰值123.9
    2. 趋势性下行期(2018-2022年):自2018年中开始,指数见顶回落。2020年初新冠疫情冲击导致短暂深跌后虽有反弹,但未能重返前期高点。2022年4月,指数骤降至86.7,创下数据序列(除2009年部分月份外)的历史新低,标志着趋势的彻底转变。
    3. 低位盘整期(2022年中至今):指数在85-90的狭窄区间内持续震荡,中枢明显下移。截至2026年1月,指数为90.6,仍显著低于2017年峰值及长期历史均值。
  • 周期性波动与关键转折点: 数据清晰反映了数次由外部冲击或内部周期引发的剧烈波动:

    • 2008-2009年全球金融危机:指数从2007年末的113.1急速下滑至2008年12月的101.8,并于2009年上半年在100-102区间筑底。
    • 2011-2012年欧债危机与国内通胀压力:指数在2011年中至2012年中经历一轮“W”型探底,2012年6月降至99.3
    • 2015-2016年经济增速换挡与股市波动:指数从2015年中的109.9回落,于2016年3月触及100.0
    • 2020年新冠疫情首次冲击:指数从2019年末的126.6暴跌至2020年2月的118.9(环比-5.9%),随后在4月进一步下探至116.4。
    • 2022年疫情反复与宏观环境变化:指数出现断崖式下跌,从2022年3月的113.2骤降至2022年4月的86.7(环比-23.4%),构成最显著的历史转折点。
  • 满意指数与预期指数走势对比: 两者长期趋势高度同步,但在波动幅度和时点上存在差异,揭示了重要的经济信号:

    1. 预期通常领先且波动更大:在多数下行周期初期(如2008年、2011年、2022年),消费者预期指数的同比/环比跌幅普遍大于满意指数,显示对未来担忧的加剧是信心下滑的主要驱动力。在复苏初期(如2009年末、2016年中、2020年下半年),预期指数的反弹力度和速度也往往强于满意指数,起到引领作用。
    2. “现状”与“展望”的背离期:在某些时期,两者出现明显背离。例如,2011年中至2012年初,满意指数大幅下挫(如2011年10月仅91.8),而预期指数相对坚挺,反映消费者对现状(可能受高通胀影响)极度不满,但对未来政策调整抱有期待。2023年下半年以来,两者走势高度粘合且均在极窄区间内波动,表明消费者对现状和未来的看法均趋于一致且谨慎,缺乏明确的方向性预期。

二、增长动力与结构性变化

  • 增长率波动分析

    • 同比增长率:波动极为剧烈,是周期性的灵敏指标。在扩张期可达15%以上(如2017年),在深度衰退期可暴跌至-30%以下(如2022年)。2023年4月起,同比增长率由负转正,但持续在零轴附近小幅波动(-2%至+4%),表明同比意义上的“衰退”已结束,但增长动能非常微弱,处于“弱复苏”状态。
    • 环比增长率:更能捕捉短期情绪变化。其波动同样剧烈,大幅正负交替常见。2022年4月环比-23.4% 是历史最大单月跌幅,而次月即小幅转正,显示冲击的突发性和情绪的极度恐慌。近期(2024年下半年至2026年初)环比增速多在±1.5%内窄幅波动,显示情绪面进入低波动、缺乏弹性的状态。
  • 不同时期增长特征比较

    • 危机应对期(2009-2010年):在“四万亿”刺激政策下,指数同比增速于2009年12月转正,并于2010年3月实现同比+7.6% 的强劲反弹,呈现“V型”反转特征。
    • 结构转型期(2014-2015年):增长波动加大,但未出现深度负增长,反映经济在“新常态”下寻找新平衡。
    • 供给侧改革与消费升级期(2016-2018年):同比增速持续为正且多次超过10%,是数据序列中增长最强劲、最持续的时期,与居民杠杆率上升、财富效应及消费升级趋势吻合。
    • 多重压力期(2021-2022年):增长动力衰竭。2021年下半年同比增速转负,2022年则陷入深度负增长,且满意指数同比跌幅多次超过预期指数,显示对现状的恶化感受尤为深刻。
    • 后疫情修复期(2023年至今):增长特征转变为“低水平下的微幅正增长”。同比增速虽已转正,但绝对值仍在90以下,呈现“L型”底部徘徊态势。
  • 指数水平与增长动能关系: 历史数据显示,指数绝对水平与增长动能之间存在非线性关系。在高位区间(如>115),进一步增长的空间和动能受限,波动性增加(如2018年)。在深度低位(如<90),由于基数极低,易于实现同比正增长(如2023年),但这并不代表信心强劲复苏,而更多是“跌无可跌”后的技术性修复。当前(90左右)的指数水平结合微弱的正增长,明确指向信心处于 “低位均衡陷阱” ,缺乏向上突破的强劲内生动力。

三、关键时期深度剖析

  • 时期一:2008-2009年全球金融危机期间

    • 数据表现:CCI从2007年12月的113.1一路下滑至2008年12月的101.8,累计跌幅约10%。2009年上半年在100-102区间磨底,直至2009年12月回升至103.9。同比增速在2008年11月触及-6.1%的低点。
    • 经济背景关联分析:外需急剧萎缩导致出口下滑,国内经济增长失速,就业市场承压。2008年11月中国政府宣布“四万亿”投资计划,货币政策大幅宽松。
    • 分项指数行为预期指数下跌领先且幅度更深。例如,2008年11月,预期指数同比暴跌-8.0%,远超满意指数的-3.0%。在复苏阶段,预期指数也率先于2009年12月实现同比正增长(+3.1%),领先于满意指数(+0.6%)。这典型地反映了危机中恐慌情绪首先冲击未来展望,而政策刺激的效应也最先提振预期。
  • 时期二:2022年疫情反复与宏观环境剧变

    • 数据表现:这是数据序列中最剧烈、最深刻的一次下跌。CCI在2022年4月单月环比暴跌23.4%,指数从113.2骤降至86.7。此后一直在86-89的超低区间徘徊,至今未恢复至90以上(除2023年初短暂反弹)。
    • 经济背景关联分析:2022年二季度,国内部分重点城市采取严格封控措施,对生产、物流、消费活动造成严重冲击。同时,房地产市场深度调整、互联网等行业监管影响持续、青年失业率攀升、外部环境复杂化等多重因素叠加,导致居民收入预期和安全感发生根本性转变。
    • 分项指数行为满意指数与预期指数同步“塌陷”,且满意指数在某些时点跌幅更深(如2022年4月,满意指数环比-21.6%,预期指数环比-25.3%,两者均创纪录)。这表明冲击是全面且立体的,消费者不仅极度看淡未来,对当前经济状况和生活质量的满意度也急剧恶化。两者的深度“粘合”下行,是信心遭受系统性打击的典型特征。
  • 时期三:2023年至今的低位弱复苏期

    • 数据表现:指数在85-90的极窄区间内持续震荡超过两年。同比增长率自2023年4月起转正,但幅度微小(大多在±2%之间)。环比增长也基本在±1%内波动,未能形成持续的上升趋势。
    • 经济背景关联分析:疫情防控转段后,经济呈现波浪式复苏。但居民部门面临资产负债表修复、收入增长放缓、未来不确定性高等挑战,“预防性储蓄”倾向上升,消费行为趋于保守。政策刺激力度温和,更多着眼于供给侧和长期结构。
    • 分项指数行为满意指数与预期指数走势高度重合,均在极低水平上平行移动。例如,2025年下半年,两者指数值相差仅在2个点以内。这反映出消费者对现状的评估与对未来一年的展望高度一致且均不乐观,形成了稳定的“低预期-低满意”均衡,缺乏打破僵局的内生催化剂。

四、现状评估与宏观含义

  • 当前信心状况评估(基于最新数据): 截至2026年1月,消费者信心指数为90.6,环比增长1.2%,同比增长3.5%。满意指数与预期指数分别为88.4和88.4。综合判断:

    1. 绝对水平极低:90.6的指数值处于历史底部区间,仅略高于2009年金融危机谷底和2022年冲击后的水平,远低于长期中枢。
    2. 趋势呈弱修复:连续数月的同比正增长及近期环比小幅正增长,表明信心已脱离2022年中的“恐慌底”,进入极其缓慢的修复通道。
    3. 结构缺乏弹性:满意与预期指数数值几乎相等,且同步微幅波动,显示消费者情绪处于一种 “谨慎的稳态” ,既无进一步恶化的迹象,也看不到强劲复苏的动能。这是一种典型的“信心疤痕”效应体现。
  • 短期趋势展望与风险提示

    • 展望:在无超预期强力政策或外部正向冲击的情况下,消费者信心大概率将在85-95的区间内继续维持低位震荡。微弱的正增长可能延续,但难以迅速推动指数脱离当前区间。
    • 风险点
      1. 就业与收入预期:青年就业压力、部分行业调整对居民收入预期的制约是核心风险。
      2. 资产价格波动:房地产市场的持续调整通过财富效应影响消费信心。
      3. 通缩预期:若物价持续低迷,可能强化“持币待购”心理,进一步抑制消费意愿。
    • 支撑因素:稳增长政策的持续加码、就业市场的逐步改善、社会保障网络的完善,可能为信心提供底部支撑,防止其再度滑坡。
  • 对宏观经济政策的含义

    1. 总需求管理的核心挑战:当前经济的核心矛盾之一是居民部门消费意愿不足。极低的消费者信心指数是微观行为对宏观数据的先行印证。扩大内需,特别是消费需求,政策必须直面并解决信心低迷这一“堵点”。
    2. 政策需超越周期性刺激,关注结构性修复:历史上针对危机的强力逆周期调节(如2009年、2020年)能快速提振预期。但当前信心低迷根植于更深层的结构性、预期性问题,要求政策组合更注重改善居民长期收入预期、稳定就业、降低生活和未来不确定性(如教育、医疗、养老)
    3. 满意指数与预期指数的“双低”指向政策发力点:政策需同时兼顾“稳现状”与“提预期”。短期看,通过财政手段直接或间接补贴中低收入群体、稳定就业市场,有助于提升“满意指数”。中长期看,通过深化改革、明确发展预期、保护产权和企业家精神,才能有效提振“预期指数”,打破当前的“低水平均衡”。
    4. 货币政策的局限性:在信心匮乏、资产负债表收缩的背景下,单纯依靠货币宽松对提振消费的效果将大打折扣。财政政策、收入分配政策、产业与就业政策的协同配合更为关键。数据表明,修复消费者信心将是一个比应对周期性衰退更为漫长和复杂的过程。

第三章:经营投资视角

1. 数据概览与质量评估

  • 数据源与时效性:数据来源于akshare金融数据接口(macro_china_xfzxx),统计周期为2007年1月至2026年1月,共229个月度数据点,数据抓取时间为2026年3月5日。数据覆盖近20年,具有较长的历史纵深,且包含最新的2026年1月数据,时效性极强,可用于分析长期趋势和近期动态。
  • 指标构成:核心分析指标为消费者信心指数及其两个子维度:消费者满意指数(反映当前状况)和消费者预期指数(反映未来展望)。每个指标均提供指数值同比增长率(%)环比增长率(%),为分析绝对水平、长期趋势和短期波动提供了完整的数据基础。

2. 核心趋势分析

  • 长期趋势

    • 2007-2011年:高位震荡与危机冲击。指数在2007-2008年初处于110以上的高位,随后受全球金融危机冲击,于2008年11月(105.2)开始断崖式下跌,至2009年3月跌至周期最低点(100.3)。之后在“四万亿”刺激政策下缓慢复苏,于2010年3月反弹至107.9。
    • 2011-2019年:结构分化与韧性增长。这一时期指数整体在95-125的宽幅区间内震荡。2011-2015年,指数多次下探100关口(如2012年6月99.3,2015年8月104.0),但未跌破前期低点。自2016年下半年起,指数开启一轮强劲上升周期,从2016年7月的106.8一路攀升至2018年2月的124.0,创下历史新高。
    • 2020-2022年:疫情冲击与深度探底。2020年2月(118.9)受新冠疫情首次冲击后快速反弹,但整体水平下移。2022年3月(113.2)后,受多重因素影响,指数出现历史性暴跌,于2022年4月骤降至86.7,进入深度收缩区间,并在2022年4月至2023年3月期间持续低于90,为有记录以来最长的低迷期。
    • 2023年至今:低位徘徊与缓慢修复。自2023年4月起,指数值在85-95的狭窄区间内持续震荡,至今已近两年。2025年下半年以来,指数呈现温和回升迹象,从2025年6月的87.9缓慢爬升至2026年1月的90.6,但仍远低于历史中枢水平(约110),处于长期盘整与弱复苏阶段。
  • 近期动态(最近24个月:2024年2月-2026年1月)

    • 指数在2024年上半年经历小幅下滑(从89.1降至86.2),随后在86.0-88.9的极窄区间内(波幅约3点)持续震荡超过一年。
    • 自2025年7月起,指数出现明确的、连续的环比正增长,从87.9逐步上升至2026年1月的90.6,形成一条温和的短期上升通道。这是自2022年大跌后,首次出现持续超过半年的回升趋势。
  • 增长动力分析

    • 近期驱动:观察2025年7月至2026年1月的回升期,消费者预期指数的环比增长(1.12%, 0.22%, 0.45%, 0.45%, 1.45%, 1.77%)整体略强于消费者满意指数(1.62%, 0.11%, 2.39%, -1.56%, 0.56%, 0.57%)。这表明近期的信心修复主要源于对未来展望的边际改善。
    • 长期结构:在2022年以来的深度低迷期,预期指数多次出现比满意指数更大幅度的下跌(如2022年4月,预期同比-31.1%,满意同比-24.7%),显示悲观预期是拖累信心的核心。当前预期指数(88.4)仍略低于满意指数(88.4),但差距已显著收窄,显示“现状”与“预期”趋于平衡,但尚未形成“强预期拉动”的格局。

3. 波动性与结构分析

  • 波动特征

    • 高波动时期:同比与环比增长率波动最剧烈的时期集中在2008-2009年全球金融危机(如2008年12月信心指数同比-10.0%)和2022年疫情及后续冲击(如2022年4月信心指数同比-28.6%,环比-23.4%)。这两个时期出现了指数值的断崖式下跌和增长率的极端负值。
    • 低波动时期2023年下半年至今,无论是同比还是环比增长率,其波动幅度都显著收窄。环比增长率多在±2%以内窄幅波动,同比降幅也从2023年初的-20%以上收窄至2026年1月的±4%左右,反映出消费者信心进入一个低波动、低水平的“新常态”平台期。
  • 结构对比

    • “预期高于现状”阶段:在2016-2018年的上升周期中,预期指数值经常高于或等于满意指数值,体现了乐观未来展望对整体信心的拉动作用。
    • “现状与预期双杀”阶段:2022年暴跌期间,满意指数与预期指数均大幅下滑,且预期指数跌幅更深,结构上呈现双杀局面。
    • “现状与预期趋同”阶段:当前(2026年1月),满意指数(88.4)与预期指数(88.4)完全持平。两者在近几个月的走势也高度同步,表明消费者对当前状况的感受与对未来一年的展望趋于一致,均停留在谨慎乐观的修复初期,缺乏明确的向上或向下结构性背离信号。

4. 关键洞察与商业解读

  • 拐点识别

    1. 2008年11月:消费者信心指数同比增速由正转负(-6.1%),环比暴跌-2.5%,标志全球金融危机影响全面传导至消费者端,进入长达一年的下行周期。
    2. 2016年7月:在经历数年震荡后,信心指数同比(+2.2%)与环比(+3.8%)均大幅转正,开启了持续至2018年的强劲上升周期,与当时供给侧改革初见成效、经济企稳向好的宏观背景相符。
    3. 2022年4月:指数值环比暴跌-23.4%,同比暴跌-28.6%,创历史最大跌幅,标志消费者信心进入“危机模式”。这与当时国内疫情多点散发、严格的防控措施以及国际地缘冲突加剧等宏观背景直接相关。
    4. 2025年7月:指数结束长达两年多的底部震荡,开启连续环比正增长(至2026年1月已连续7个月环比未出现负增长),可能标志着信心进入一个缓慢但确定的修复通道。
  • 投资与经营启示

    • 对投资者的启示
      • 趋势确认:消费者信心已脱离最低谷,进入温和修复阶段,这对整体宏观经济和股市情绪构成基础性支撑。但指数绝对值仍处历史低位,意味着复苏基础尚不牢固,全面牛市的条件不具备。
      • 板块轮动:信心修复初期,预期改善领先,可能利好对经济周期敏感的可选消费品(如家电、汽车、旅游服务)和金融板块。必需消费品防御性相对减弱。投资者需关注后续满意指数能否跟上,以判断复苏的可持续性和板块行情的扩散。
    • 对企业经营者的启示
      • 需求判断:当前信心水平对应的是谨慎且缓慢释放的消费需求。市场难以出现报复性消费或需求井喷,企业应基于“弱复苏”基调制定销售目标。
      • 策略建议定价策略上,消费者对价格敏感度仍高,盲目提价风险大,应侧重性价比和增值服务。库存管理需保持灵活,避免过度乐观备货。扩张计划应更为审慎,优先巩固现有市场和客户,投资于能提升运营效率和客户体验的领域,而非盲目进行产能或门店扩张。

5. 风险提示与展望

  • 主要风险

    1. 复苏基础脆弱风险:当前指数绝对值(90.6)仍大幅低于长期均衡水平,且回升斜率平缓。任何外部负面冲击(如地缘政治、贸易摩擦、就业市场波动)都可能打断当前的修复进程。
    2. 预期反复风险:虽然近期预期指数有所改善,但其绝对水平依然不高。若未来经济数据或收入增长不及预期,已改善的消费者预期可能再次转弱,拖累整体信心。
    3. 满意指数停滞风险:如果预期改善不能有效传导至居民实际收入感知和消费体验(即满意指数),信心的修复将缺乏坚实基础,可能重新陷入震荡。
  • 未来展望

    • 预判:基于2025年7月以来连续环比正增长的趋势,预计未来一至两个季度(至2026年第二季度),消费者信心指数将继续保持温和回升的态势,有望缓慢向95-100区间靠拢。
    • 依据:1) 趋势惯性:连续多月的环比增长形成了短期上升趋势。2) 结构支撑:预期指数与满意指数同步回暖,且预期略占主导,结构相对健康。3) 低基数效应:尽管同比增速已转正,但绝对水平的历史低位为继续修复提供了空间。然而,回升的速度和高度将严重依赖于宏观就业、收入数据的实质性改善以及政策环境的持续性。

第四章:量化分析视角

1. 数据概览与质量检查

  • 数据源与范围确认:数据来源于akshare的macro_china_xfzxx API。时间跨度为2007年1月至2026年1月,共计229个月度数据点,覆盖约19年。
  • 关键字段说明
    • 指数值:消费者信心/满意/预期指数的绝对水平,是衡量消费者情绪的核心指标。
    • 同比增长:与上年同月相比的变动百分比,反映长期趋势和年度周期对比。
    • 环比增长:与上月相比的变动百分比,反映短期情绪波动和转折点。
  • 完整性检查:数据序列连续,无月份缺失。2009年1月至2009年12月、2010年9月至2012年2月等部分区间的指数值包含多位小数,与前后整数格式略有不同,但属于数据记录方式,非异常值。2022年4月指数值出现断崖式下跌(如CCI从113.2降至86.7),结合宏观背景(疫情封控)可解释,非数据错误。

2. 核心指标趋势分析

  • 长期趋势
    • 整体走势:三大指数在近19年间呈现显著的“波浪形”周期波动,而非单一趋势。可大致划分为:2007-2008年高位回落(金融危机)、2009-2011年震荡修复、2012-2014年区间震荡、2015-2018年强劲上升(于2018年达到历史峰值附近)、2019-2020年高位盘整后骤降(疫情冲击)、2021年短暂反弹、2022年深度探底、2023年至今于低位缓慢修复。
    • 关键点位
      • 历史高点:消费者信心指数(CCI)于2018年2月达到124.0,接近历史峰值区域(2017年10月为123.9)。
      • 历史低点:CCI于2022年4月骤降至86.7,为数据期内最低点。次低点为2008年12月的101.8。
  • 近期表现(最近24个月:2024年1月-2026年1月)
    • 水平:三大指数持续在85-91的偏低区间内窄幅波动,显著低于2017-2021年的高位水平(110-125),与2009-2014年的震荡中枢(100-110)相比也偏弱。
    • 趋势:自2023年初以来,指数脱离2022年极端低点后,进入一个底部徘徊、缓慢抬升的平台期。波动幅度显著收窄,趋势性方向不强。
    • 稳定性:近期环比增长率绝对值多数小于2%,显示消费者情绪处于一种低水平的稳定状态,缺乏强劲的向上或向下动能。
  • 预期与现状对比
    • 长期关系:在多数经济周期转折阶段,预期指数波动幅度通常大于满意指数,更具前瞻性和弹性。例如,在2008年金融危机和2020年疫情初期,预期指数同比跌幅远大于满意指数;而在复苏初期(如2009年末、2020年下半年),预期指数的反弹力度也更强。
    • 近期表现:2025年下半年以来,预期指数与满意指数的走势出现一定分化。例如,2025年9月,满意指数环比大幅上升2.39%,而预期指数环比下降0.67%;2025年10-11月,预期指数增长动能又略强于满意指数。这反映出消费者对未来的判断(预期)与对当下的感受(满意)之间存在不确定性,尚未形成一致的乐观或悲观共识。

3. 增长动力与波动性分析

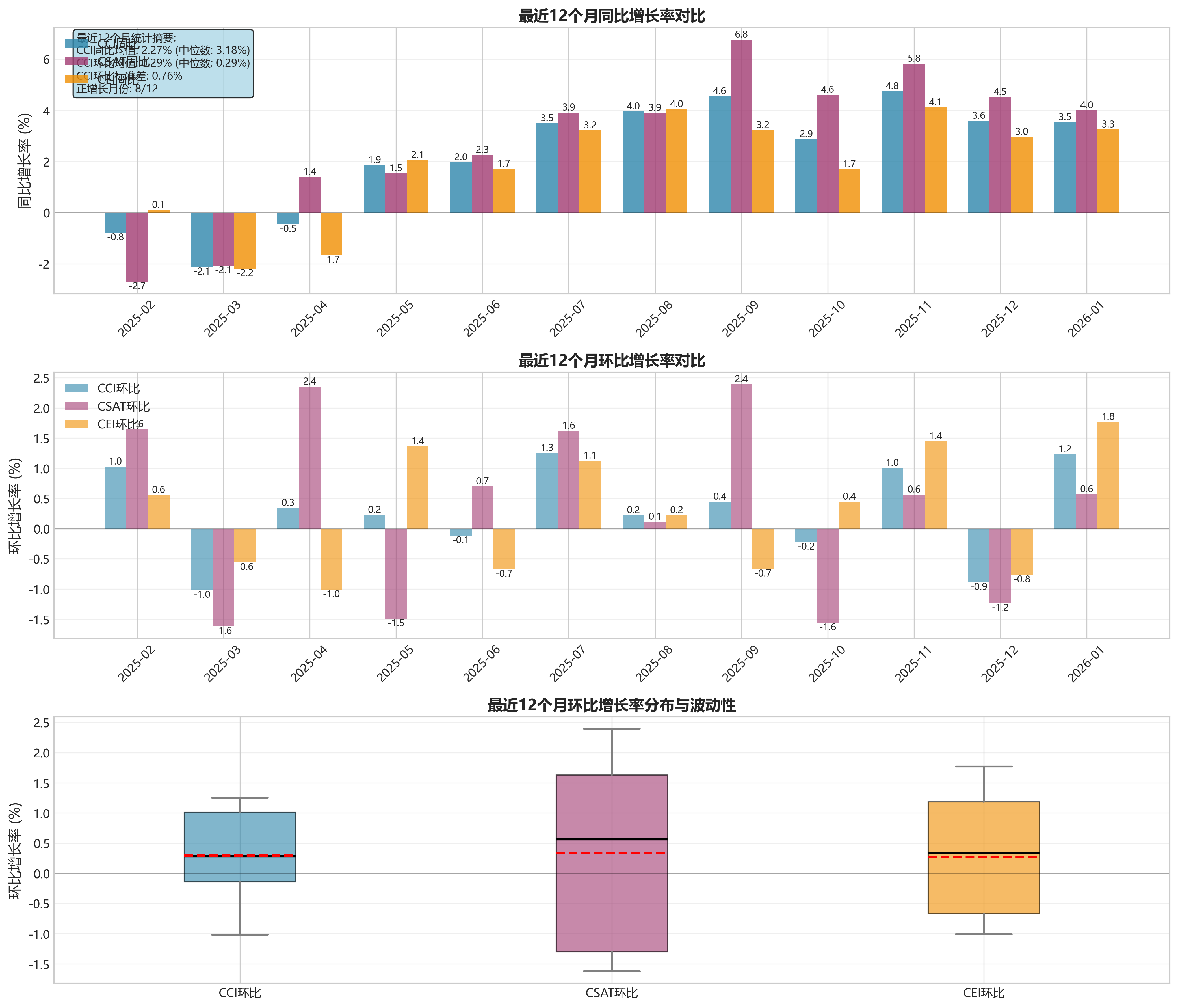
  • 增长分析(最近12个月:2025年2月-2026年1月)
    • 同比增长率
      • CCI平均值:1.67%,中位数:1.91%
      • 满意指数平均值:2.58%,中位数:2.58%
      • 预期指数平均值:1.38%,中位数:1.70%
      • 解读:三大指数同比已连续一年维持正增长,确认了从2022年深度负增长中的修复趋势。但增长均值较低,表明修复力度温和,远未恢复至疫情前水平。
    • 环比增长率
      • CCI平均值:0.16%,中位数:0.23%
      • 满意指数平均值:0.29%,中位数:0.34%
      • 预期指数平均值:0.10%,中位数:0.22%
      • 解读:环比增长几乎围绕零轴波动,平均值与中位数均接近零,显示短期增长动能非常微弱,缺乏持续改善的势头。
    • 高波动期关联事件
      • 2008-2009年:同比深度负增长,对应全球金融危机及国内经济下行。
      • 2011-2012年:同比大幅波动,对应国内通胀压力、经济增速换挡初期。
      • 2015-2016年:同比由正转负,对应股市异常波动、经济下行压力。
      • 2020年2-4月:环比剧烈负增长,对应新冠疫情首次爆发及严格封控。
      • 2022年3-4月:环比与同比出现数据期内最大跌幅,对应奥密克戎疫情及超预期封控措施。
  • 波动性评估:近期(最近12个月)CCI环比增长率的样本标准差约为0.78%,处于历史较低波动区间。这表明当前消费者情绪虽然处于低位,但短期波动性较小,市场情绪趋于钝化。

4. 结构性洞察

  • 指数间关系:消费者信心指数作为总指数,其走势由满意指数(现状)和预期指数(未来)共同决定。长期看,三者趋势基本同步。在周期拐点,预期指数通常扮演领先或放大波动的角色。当前,三者均处于低位窄幅震荡,但预期指数与满意指数的短期偶尔背离,暗示内部结构存在微弱张力。
  • 周期阶段判断:综合当前指数绝对水平(低位)、趋势方向(底部徘徊、微弱修复)、增长动能(同比正但力度弱、环比近乎零)以及波动性(低)来看,当前消费者心理处于 “谨慎观望期”“弱复苏平台期” 。消费者情绪已度过最悲观的时刻(2022年),但尚未积累起足够信心进入明确的“乐观扩张期”。市场在等待更强劲、更可持续的积极信号。

5. 关键结论与风险提示

  • 核心结论
    1. 低位企稳,修复乏力:消费者信心已从2022年的历史性低点回升,但持续在85-91的低位区间徘徊,同比正增长但环比接近零增长,显示修复进程缓慢且缺乏短期上行推力。
    2. 情绪钝化,波动收窄:近期消费者情绪波动性降至历史低位,反映市场进入一种低水平的均衡状态,对短期信息反应平淡,情绪面趋于钝化。
    3. 预期与现状存在不确定性:预期指数与满意指数近期走势的轻微分化,表明消费者对未来的判断尚未与对现状的感知形成稳固一致的改善预期。
  • 前瞻性提示
    • 短期展望:基于预期指数近期在正负间微弱波动的态势,以及总指数环比增长近乎停滞的状态,预计未来3-6个月消费者信心大概率延续底部震荡、缓慢修复的格局,出现趋势性大幅上行或下行的可能性较低。
    • 风险与信号
      • 主要风险:增长动能持续疲软是核心风险。若环比增长长时间无法转正并扩大,当前微弱的同比正增长可能难以维持,信心有再次下探的风险。
      • 积极信号:预期指数在2025年下半年至今,其同比增长率持续为正且偶尔环比表现强于满意指数,这是一个需要关注的微弱积极信号。若预期指数能率先取得连续、稳健的环比增长,可能引领总指数脱离当前平台。

第五章:分析图解

consumer_confidence_analysis
consumer_confidence_analysis
consumer_confidence_growth_analysis
consumer_confidence_growth_analysis
consumer_confidence_long_term
consumer_confidence_long_term
consumer_confidence_recent
consumer_confidence_recent
consumer_confidence_seasonal_analysis
consumer_confidence_seasonal_analysis
recent_detailed_analysis
recent_detailed_analysis
消费者信心指数_增长率分析
消费者信心指数_增长率分析
消费者信心指数_整体趋势概览
消费者信心指数_整体趋势概览
消费者信心指数_满意与预期对比
消费者信心指数_满意与预期对比
消费者信心指数_结构对比
消费者信心指数_结构对比
消费者信心指数_统计摘要
消费者信心指数_统计摘要
消费者信心指数_综合报告
消费者信心指数_综合报告
消费者信心指数_近期动态分析
消费者信心指数_近期动态分析
消费者信心指数_近期详情
消费者信心指数_近期详情
消费者信心指数_长期趋势
消费者信心指数_长期趋势