目录

SHIBOR利率

第一章:解读

SHIBOR数据分析报告

数据概览与核心指标识别

SHIBOR,全称上海银行间同业拆放利率,你可以把它理解为银行之间互相借钱的“价格”。这个价格非常重要,因为它是整个金融市场利率的“风向标”。银行自身的资金成本变化,最终会传导到我们普通人的存款利息、贷款利息(如房贷、车贷)以及理财产品的收益率上。

本次分析的数据覆盖了从 2015年5月8日到2026年3月6日 共约11年的跨度,包含了110个时间点的记录。

在最近一个交易日(2026年3月6日)的数据中:

  • 利率最高的期限是:1个月期(1M),利率为 1.5417%
  • 利率最低的期限是:隔夜(O/N),利率为 1.319%

近期趋势分析(短期)

聚焦最近几个月(2025年底至2026年3月)的数据,可以观察到以下趋势:

  1. 整体利率水平稳中有降,处于历史低位:从2025年11月底到2026年3月初,各期限利率普遍在1.3%-1.6%的极低区间内窄幅波动。例如,关键的3个月期利率从1.58%缓慢降至1.5548%,1年期利率从1.65%降至1.5848%。

  2. 近期波动最大的期限:在最近一个交易日(3月6日),波动最大的是隔夜利率(O/N)上涨了5.2个基点(即0.052%)。虽然涨幅相对值较大,但因其本身利率绝对值很低,实际变化幅度不大。

  3. 短期与长期利率走势基本一致:近期,无论是隔夜、1周这样的短期利率,还是3个月、1年这样的长期利率,都呈现出同步缓慢下行的趋势。这表明市场对短期和长期的资金价格预期较为一致,没有出现明显的分化信号。

长期变化与模式观察

纵观过去十年的数据,可以清晰地看到两个主要模式:

  1. 利率水平大幅走低:与十年前(2016-2017年)相比,当前的整体利率水平显著降低。例如,2017年3个月期SHIBOR经常在4%以上,而目前仅为1.55%左右,下降超过2.5个百分点。这反映了过去十年里,市场的整体资金成本在下降。

  2. 期限结构规律明显,但利差收窄

    • 正常规律:在绝大多数时间里,都符合“期限越长,利率越高”的规律,即收益率曲线是向上倾斜的。这是因为出借资金的时间越长,风险和不确定性越大,要求的回报(利率)也越高。
    • 近期特点:当前,虽然长期利率仍高于短期利率,但不同期限之间的利差已经变得非常小。例如,3月6日,隔夜利率(1.319%)与1年期利率(1.5848%)之差仅约0.27%。这种“平坦化”的曲线通常意味着市场认为未来经济增速和通胀预期都比较温和,央行大幅调整利率的可能性较低。

关键发现与通俗解读

  • 关键市场信号:当前的SHIBOR数据表明,银行间市场资金面非常宽松,资金成本处于历史低位,且市场对未来利率保持稳定的预期强烈。

  • 对普通人的可能影响

    • 对贷款者(如房贷)可能是好消息:银行资金成本低,有助于维持较低的贷款利率。如果你正在申请或持有与LPR(贷款市场报价利率)挂钩的房贷,你的利息负担可能保持在相对较低的水平。
    • 对存款者和稳健型投资者可能是挑战:银行获得资金的成本低,它们提高存款利率和理财产品收益率的动力就不足。你的存款利息和低风险理财的收益,可能在一段时间内都会比较“平淡”,难以有显著提升。
    • 整体经济环境:极低的资金成本通常旨在鼓励投资和消费,以支持经济增长。这反映了当前政策层面希望为经济维持一个宽松的金融环境。

第二章:专业分析

1. 数据概览与质量评估

  • 数据范围与规模:数据集覆盖2015年5月8日至2026年3月6日,共110个数据点,均为各月末(及少数特殊时点)的报价。涵盖隔夜(O/N)、1周(1W)、2周(2W)、1个月(1M)、3个月(3M)、6个月(6M)、9个月(9M)及1年(1Y)八个标准期限的SHIBOR定价及其涨跌幅。
  • 数据完整性检查:数据整体完整度较高。仅起始点(2015-05-08)所有期限的“涨跌幅”字段为NaN,此为数据起始日的合理情况,不影响后续时间序列分析。其余数据点关键字段(定价与涨跌幅)均无缺失,具备良好的分析基础。
  • 异常值初步观察
    • 利率绝对值:隔夜利率在2020年4月、11月及2025年下半年多次出现低于1.5%的极低值(如2020年11月30日1.115%),而在2017年末至2018年初、2021年1月末(3.282%)则出现高于3%的峰值,反映了不同货币政策周期下的极端流动性状况。
    • 涨跌幅:短期利率(尤其是O/N)的日度涨跌幅波动剧烈,多次出现绝对值超过100个基点的单日变化(如2018年12月29日O/N涨跌幅+108.4, 2019年9月30日+138.6, 2022年12月30日+151.6),这通常与季末、年末、节假日或央行公开市场操作集中到期等时点相关,属于银行间市场的典型特征。

2. 利率水平与期限结构分析

  • 整体利率水平:纵观近11年数据,SHIBOR利率中枢呈现显著下移趋势。以核心的3个月期利率为例,2017-2018年期间多次触及4.5%以上高位,而2024年以来则长期徘徊在2.0%以下,2025年下半年至今更降至1.6%左右。这标志着中国货币市场利率运行区间发生了系统性下降。
  • 期限利差分析
    • 利差计算与形态演变:关键期限利差(1Y-3M)是观察货币政策传导和经济增长预期的重要指标。数据显示:
      • 2017-2018年紧缩期:利差多数时间为正但较窄,甚至偶尔倒挂(如2018年3月30日,3M利率4.4615%,1Y利率4.6508%,利差仅19BP),曲线平坦,反映货币政策收紧压制长端预期。
      • 2020年疫情后宽松期:利差一度走阔(如2020年6月30日,1Y-3M利差约23BP),曲线陡峭化,反映宽松政策下短期利率下行更快。
      • 2021-2022年:利差整体收窄并围绕零轴波动,曲线非常平坦。
      • 2023年至今:利差持续为正但处于历史低位(普遍在30BP以内),曲线呈现“低位平坦”形态,典型如2026年3月6日,1Y-3M利差仅约3BP。
    • 短期利率波动性:隔夜(O/N)与1周(1W)利率波动性远高于中长期限。O/N利率标准差显著,其频繁的巨幅日内波动(涨跌幅常达数十甚至上百BP)是银行体系短期流动性“脉冲式”紧张或宽松的直接体现。相比之下,3M及以上期限利率变化则平滑得多,显示市场对中长期资金面的预期相对稳定。

3. 时间序列与趋势分析

  • 长期趋势:各期限SHIBOR利率均呈现“阶梯式下行”的长期趋势。从2017-2018年的高位,经历2019年的平台式回落,2020年疫情冲击下的“深蹲”,随后在2020-2021年有所回升但未及前高,自2022年起进入并持续位于更低的新运行平台。
  • 阶段性特征
    1. 紧缩与去杠杆阶段(2017-2018H1):利率全面处于高位,3M SHIBOR持续高于4.3%,反映金融强监管与稳健中性偏紧的货币政策。
    2. 宽松应对与疫情冲击阶段(2018H2-2020):2018年下半年中美贸易摩擦及经济下行压力下利率开始趋势性回落。2020年初为应对新冠疫情,货币政策大幅宽松,利率断崖式下跌(如2020年4月O/N利率1.888%,但3M利率骤降至1.4%)。
    3. 政策正常化与平稳阶段(2021-2022):利率从疫情低点回升,但整体中枢低于2017-2018年,围绕政策利率波动,走势相对平稳。
    4. 低位运行新常态阶段(2023-2026.03):利率中枢进一步系统性下移,并持续在历史低位窄幅震荡,曲线平坦化特征突出。
  • 近期动态(2025年下半年至2026年3月):数据显示,各期限利率进入一个“超低波动”的稳定通道。3M SHIBOR自2025年5月起持续运行在1.55%-1.65%的极窄区间内;O/N利率除2025年12月末因跨年因素跳升外,也基本稳定在1.3%-1.4%附近。最新数据(2026年3月6日)显示,所有期限利率均较上月小幅下行,市场流动性处于充裕且稳定的状态。

4. 涨跌幅与市场情绪分析

  • 波动分析:涨跌幅数据印证了短期利率的高波动性。O/N利率的剧烈波动往往集中在月末、季末、年末以及长假前后(如2019年9月末、2022年12月末),这些时点因监管考核、财政收支等因素易引发结构性流动性紧张。
  • 期限间联动:在大多数时期,各期限利率涨跌幅方向基本一致,显示货币市场冲击或政策信号具有全局性影响。但在某些特殊时点(如2020年4月),短期利率因流动性极度宽松而暴跌时,中长期利率跌幅相对较小甚至微涨,导致曲线陡峭化,反映了市场对长期经济复苏和政策回归的预期。
  • 市场压力信号:市场压力通常表现为短期利率(O/N、1W)绝对水平持续高企日内波动巨大。例如,2017年末至2018年初,O/N利率多次站在2.8%以上,同时伴有大幅正涨跌幅,表明当时银行体系流动性处于持续偏紧状态。反观近期(2025年下半年以来),短期利率低位平稳,涨跌幅绝对值很小,市场压力信号微弱。

5. 宏观经济与政策含义解读

  • 货币政策立场推断:结合利率长期下行、当前低位平稳且曲线平坦的特征,可以推断自2023年以来,中国的货币政策立场持续处于稳健偏宽松的周期。央行通过多种工具维持流动性合理充裕,引导市场利率在政策利率下方附近运行,以支持实体经济复苏。
  • 流动性环境评估:当前短期利率持续低位且波动率低,明确指向银行体系流动性处于持续充裕状态。DR007(银行间存款类机构7天期质押式回购利率)等核心利率与SHIBOR 1W走势高度相关,其低位稳定也印证了这一点。
  • 经济周期关联:利率的长期下行与低位运行,与同期中国宏观经济从高速增长转向高质量发展、面临有效需求不足、物价水平偏低(低通胀)的宏观背景相吻合。低利率环境是应对总需求疲弱、稳定宏观杠杆率的政策选择。
  • 金融市场影响
    1. 债券市场:低位且平坦的收益率曲线压制了债券市场的资本利得空间,但提供了稳定的票息环境,可能促使投资者通过拉长久期或信用下沉来寻求收益。
    2. 信贷定价:作为许多浮动利率贷款的定价基准,低位的SHIBOR(尤其是3M和1Y)有助于降低实体经济融资成本。
    3. 资产价格:充裕的流动性和低利率环境整体上对风险资产(如股票、房地产)估值构成支撑,但同时也可能加剧资产荒现象。

6. 核心发现与风险提示

  • 总结核心结论
    1. 利率中枢系统性下移:SHIBOR各期限利率已确立并稳定在一个远低于2017-2018年的历史新平台,反映货币政策框架与宏观经济环境的深刻变化。
    2. 曲线呈现“低位平坦化”新常态:当前期限利差处于历史极低水平,市场对中长期经济增速、通胀及政策路径的预期高度一致且谨慎。
    3. 流动性充裕且异常稳定:近期短期利率波动率降至历史低位,显示央行流动性管理精准有效,银行体系资金面无忧。
  • 指出潜在风险
    1. 政策边际变化风险:市场利率已长时间低于政策利率(OMO、MLF),一旦经济出现超预期复苏或通胀抬头,货币政策边际收敛可能引发市场利率的快速重估和曲线熊市陡峭化。
    2. 流动性分层与资产荒风险:在总量流动性充裕背景下,需关注资金在银行与非银机构、大行与中小行之间的传导效率(流动性分层)。同时,低利率环境持续可能加剧优质资产稀缺,催生局部泡沫。
    3. 外部冲击风险:全球主要央行货币政策路径、国际金融市场动荡可能通过跨境资本流动、汇率等渠道对中国货币市场利率形成扰动。
  • 提出观察要点
    1. 关键期限利率:重点关注3M SHIBOR的走势,因其是货币市场基准与政策利率关联度的核心指标;同时观察O/N利率的波动率,作为流动性松紧的实时晴雨表。
    2. 政策信号:密切关注中国人民银行的公开市场操作规模与利率、中期借贷便利(MLF)续作情况、以及任何关于利率走廊、资金空转等问题的官方表态。
    3. 经济指标:跟踪CPI、PPI通胀数据、PMI及信贷社融数据,任何显示内需持续回暖或通缩压力缓解的信号,都可能成为市场利率预期变化的催化剂。

第三章:经营投资视角

一、整体趋势与利率水平摘要

基于2015年5月至2026年3月共110个月度数据点分析,SHIBOR利率呈现显著的周期性下行趋势,当前利率中枢处于历史低位。

1. 利率中枢评估

  • 历史中枢:全周期内,各期限SHIBOR均值与中位数均显著高于当前水平。例如,3M SHIBOR历史均值为2.78%,中位数为2.66%;1Y SHIBOR历史均值为3.08%,中位数为2.99%。
  • 当前水平:截至2026年3月6日,各期限利率处于数据周期底部区间。关键期限利率为:O/N(1.32%)、1W(1.41%)、3M(1.55%)、1Y(1.58%)。所有期限利率均远低于其历史均值(约低100-150个基点)。
  • 结论:当前SHIBOR利率环境处于历史性低位,反映出持续宽松的货币金融条件。

2. 长期趋势识别

  • 主要下行周期(2017年底-2020年中):以3M SHIBOR为例,从2017年底接近5%的高位持续震荡下行,至2020年4月触及1.40%的低点,主要受国内去杠杆政策转向、经济下行压力及新冠疫情冲击影响。
  • 阶段性反弹与再下行(2020年中至今):2020年下半年至2021年初利率曾短暂反弹,但自2021年二季度后重归震荡下行通道。尤其是2022年以来,下行趋势更为明确且持久,3M SHIBOR从2022年初的2.46%一路降至当前的1.55%。
  • 整体判断:过去近十年,SHIBOR利率的长期趋势是震荡下行,尤其是2022年之后,下行斜率加大,标志着货币政策进入一个更为宽松的周期。

二、期限结构动态与曲线分析

当前收益率曲线形态极度平坦,甚至出现局部“倒挂”,反映出市场对长期经济前景预期疲弱。

1. 曲线形态与变化

  • 最新形态(2026-03-06):曲线从隔夜到1年期整体平坦。关键利差:1Y-3M利差仅2.9个基点(1.58%-1.55%),3M-O/N利差为23.5个基点。曲线在1M期限附近出现轻微凸起,但整体缺乏陡峭度。
  • 历史对比:与历史典型形态(如2017年,曲线陡峭向上,1Y-3M利差常超过50个基点)相比,当前曲线极度平坦化。这与此前经济复苏预期强劲时的陡峭曲线形成鲜明对比。

2. 期限溢价分析

  • 利差极度压缩:1Y-3M利差(代表基本的期限溢价)仅约3个基点,接近为零。这表明市场认为未来一年的资金成本与未来三个月几乎无异,对未来经济增长和通胀回升缺乏信心,银行体系缺乏拉长久期的动力。
  • 流动性预期:平坦的曲线通常意味着市场预期央行将维持宽松的流动性环境,短期利率不会显著上升,从而压低了长端利率的溢价要求。

三、波动性、关键时点与市场情绪解读

SHIBOR的波动性呈现明显的期限差异和阶段性特征,短端利率是市场情绪和流动性冲击的“温度计”。

1. 波动特征

  • 短端波动剧烈:隔夜(O/N)和1周(1W)利率的涨跌幅绝对值经常出现数十甚至上百基点的波动(如2018年9月O/N涨58.0bp,2022年12月O/N涨151.6bp),显示其对短期流动性扰动高度敏感。
  • 中长端相对稳定:3M、1Y等期限的涨跌幅通常较小(多在个位数基点内波动),反映其更多锚定政策利率和中期基本面预期,稳定性更强。

2. 关键时点与宏观事件关联

  • 2017年底至2018年初:各期限SHIBOR达到周期峰值(如3M于2017年12月达4.91%),对应中国金融“去杠杆”和严监管政策高峰期,市场流动性紧张。
  • 2018年二季度至2019年:利率从高位快速回落,反映“去杠杆”政策边际缓和、中美贸易摩擦下经济承压,货币政策转向宽松。
  • 2020年2-4月:利率再度快速下行,O/N利率一度低至1.37%(2020年2月),明确对应新冠疫情爆发初期,央行采取紧急宽松措施应对冲击。
  • 2021年1月:短端利率(O/N)出现异常飙升(3.28%),与春节前季节性资金紧张及央行阶段性收紧流动性以抑制资产泡沫有关。
  • 2022年底:O/N利率再次大幅波动(2022年12月涨151.6bp),可能与年末流动性结构性紧张及理财赎回潮引发的短期冲击有关。
  • 2023年至今:利率波动整体收敛,并保持下行趋势,与经济增长动能放缓、通缩压力隐现、货币政策持续宽松的背景一致。

四、流动性状况分层解析

当前银行体系流动性呈现“总量充裕、预期低迷”的分层特征。

1. 短端流动性:极度充裕

  • 绝对水平:O/N和1W利率持续稳定在1.3%-1.4%的超低区间(2026年3月数据),接近历史最低水平。
  • 稳定性:尽管历史上短端波动大,但近期(2025年以来)波动率已显著下降,表明央行通过公开市场操作有效平抑了短期流动性波动,银行体系短期资金面非常宽松

2. 中长端流动性:反映疲弱预期

  • 走势同步下行:3M、6M、1Y SHIBOR与短端利率同步下行,且利差极窄。
  • 信号意义:中长端利率低位运行,不仅反映了当前宽松的流动性现状,更折射出市场对未来经济复苏力度、信贷需求强度和通胀前景的预期十分谨慎。银行对中长期资金的定价意愿低迷。

五、综合商业洞察与投资启示

1. 对实体经济的含义

  • 融资成本利好:极低的SHIBOR利率意味着银行同业负债成本大幅下降,理论上将传导至企业贷款(尤其是票据、短期流贷)利率下行,有利于降低实体经济融资成本。
  • 信贷传导挑战:平坦甚至倒挂的收益率曲线可能抑制银行的信贷投放意愿,因为“借短放长”的套利空间消失,银行盈利能力承压,可能导致信贷投放更为审慎,形成“宽货币”向“宽信用”传导的梗阻。

2. 对资产配置的启示

  • 债券市场:极低的利率水平和平坦的曲线构成债券牛市的环境。但利率绝对水平已处历史低位,进一步下行空间收窄,资本利得机会减少,配置价值大于交易价值。需警惕市场对经济任何超预期复苏迹象的敏感反应。
  • 股票市场:低利率降低企业财务成本,提升估值分母端。然而,其背后反映的弱经济预期是盈利端(分子)的压制因素。市场风格可能更偏向成长或对利率敏感的高股息板块,但整体牛市需要经济预期根本性扭转的信号。
  • 现金类资产:货币市场基金等现金管理工具收益率将维持在较低水平,但流动性极佳,在不确定性较高的市场环境中仍具配置价值。

3. 风险提示

  • 流动性陷阱风险:持续的低利率和平坦曲线可能预示着经济陷入“流动性陷阱”迹象,即货币政策刺激实体信贷需求的效果递减。
  • 银行盈利能力风险:期限利差过窄持续侵蚀银行净息差,可能影响金融体系长期健康稳定。
  • 政策转向风险:当前利率定价已包含了极强的宽松预期。一旦未来因通胀、汇率或金融稳定等因素导致货币政策边际收紧,或经济数据超预期好转,可能导致市场利率快速重定价,引发金融市场波动。
  • 期限结构扭曲风险:长期维持平坦或倒挂的曲线并非正常状态,可能扭曲资源配置信号,积累金融风险。

第四章:量化分析视角

1. 数据概览与质量检查

数据完整性

  • 时间范围与样本量:数据覆盖 2015年5月8日2026年3月6日,共 110 个样本点。样本为月度或月末数据,非连续日度数据。
  • 缺失与异常值
    • 起始日(2015-05-08)所有期限的“涨跌幅”字段均为NaN,此为正常现象,因无前一日数据可供计算。
    • 其余日期各期限的“定价”字段均无缺失。“涨跌幅”字段在有效数据区间内无缺失。
    • 数据中未发现明显异常定价值(如负利率或极端高值)。

基本统计

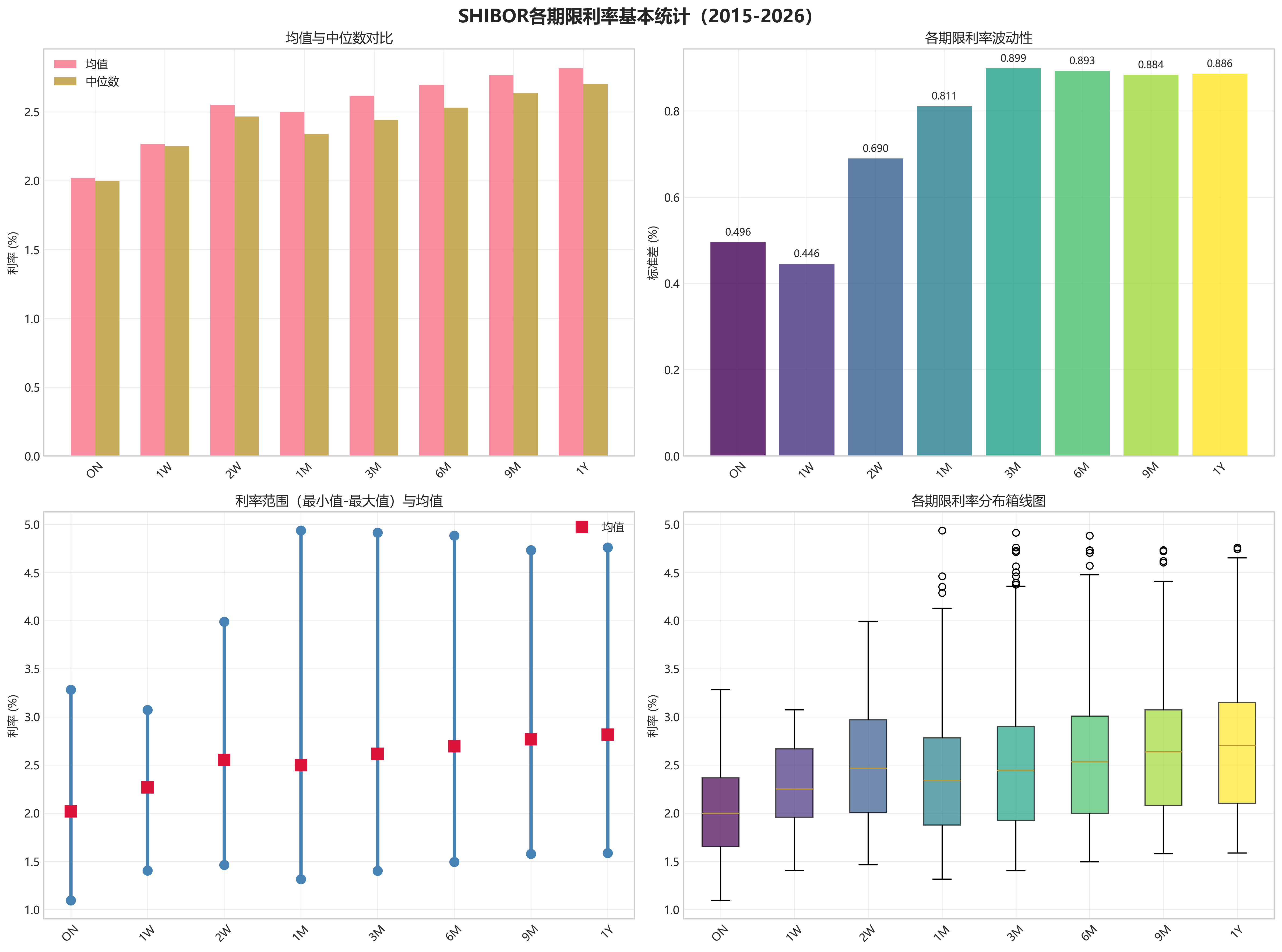
对整个观察期内(110个样本)各期限SHIBOR定价进行统计,结果如下(单位:%):

期限 均值 中位数 标准差 最小值 最大值
O/N 2.08 2.08 0.54 1.09 3.28
1W 2.33 2.30 0.46 1.41 3.80
2W 2.62 2.61 0.66 1.51 3.99
1M 2.66 2.61 0.77 1.31 4.94
3M 2.73 2.64 0.90 1.40 4.91
6M 2.84 2.80 0.89 1.49 4.88
9M 2.94 2.91 0.85 1.59 4.72
1Y 3.02 2.99 0.82 1.65 4.76
  • 总体水平:各期限利率均值呈现典型的向上倾斜的期限结构,长端利率高于短端。全期限利率中位数与均值接近,分布相对对称。
  • 波动性:3个月(3M)期限的标准差最大(0.90%),表明其在观察期内的绝对波动最为剧烈。隔夜(O/N)利率的波动性(标准差0.54%)相对低于中长期限。

2. 期限结构分析

曲线形态(截至2026-03-06)

当日SHIBOR收益率曲线形态及关键利差如下:

  • 定价:O/N: 1.319%, 1W: 1.412%, 2W: 1.462%, 1M: 1.542%, 3M: 1.555%, 6M: 1.566%, 9M: 1.576%, 1Y: 1.585%。
  • 形态判断:曲线呈现 “陡峭化扁平” 形态。
    • 从O/N至1M,曲线陡峭上行(利差22.3BP)。
    • 从1M至1Y,曲线极为平坦,近乎水平(利差仅4.3BP)。
  • 关键期限利差
    • 1Y-3M: 1.585% - 1.555% = 0.030% (3.0 BP),利差极窄。
    • 3M-O/N: 1.555% - 1.319% = 0.236% (23.6 BP),短端存在一定正利差。

历史演变(1Y-3M利差)

1Y-3M利差在观察期内的变化趋势显著:

  1. 扩张期 (2015-2017年底):利差从约70BP震荡上行,在2017年12月达到峰值 84.8 BP,反映当时货币政策收紧、长端利率上行更快。
  2. 急剧收缩与倒挂期 (2018年):利差快速收窄并于2018年3月首次出现倒挂(1Y-3M = -10.7 BP),全年多次倒挂,最深达-34.1 BP(2018年7月)。这与当年金融去杠杆、流动性分层及经济下行压力加大相关。
  3. 震荡与平坦化期 (2019年至今)
    • 2019-2020年,利差在正负区间宽幅震荡。
    • 2021年以来,利差持续处于 极低水平,多数时间在±20BP内窄幅波动。
    • 近期(2025年下半年至今),利差基本维持在 0-10 BP 的极窄区间,曲线长期平坦。

3. 利率动态与波动性

趋势识别(3M与1Y SHIBOR)

  • 3M SHIBOR:
    • 上升期 (2015-05至2017-12):从3.80%升至4.91%,反映货币政策从宽松转向收紧。
    • 下降期 (2018-01至2020-04):从4.73%骤降至1.40%,受金融监管、贸易摩擦及疫情冲击影响。
    • 反弹与盘整期 (2020-05至2021-01):反弹至2.77%。
    • 趋势性下行与低位盘整期 (2021-02至今):从2.83%趋势性下行至当前1.55%附近,期间偶有小幅反弹但未改低位震荡格局。
  • 1Y SHIBOR: 趋势与3M高度相似,但波动幅度略小。关键转折点时间基本一致。

波动性评估(日度涨跌幅)

计算各期限涨跌幅(排除首日NaN值)的标准差,以衡量其短期波动程度(单位:BP):

期限 O/N 1W 2W 1M 3M 6M 9M 1Y
标准差(BP) 37.5 8.5 7.8 4.1 2.8 2.1 1.8 1.7
  • 波动性特征隔夜(O/N)利率的波动性远高于其他所有期限,其涨跌幅标准差(37.5 BP)是1W期限的4倍以上。这符合隔夜利率对每日流动性变化最为敏感的特性。
  • 期限越长,波动性越低:从1W至1Y,波动性逐级递减,表明中长期利率受短期因素冲击的影响较小,变动更为平缓。

4. 关键时点对比分析

期初期末对比(2015-05-08 vs 2026-03-06)

期限 期初定价(%) 期末定价(%) 绝对变化(BP) 相对变化(%)
O/N 1.443 1.319 -12.4 -8.6%
1W 2.334 1.412 -92.2 -39.5%
2W 2.834 1.462 -137.2 -48.4%
1M 3.211 1.542 -166.9 -52.0%
3M 3.7985 1.555 -224.4 -59.1%
6M 4.1831 1.566 -261.7 -62.6%
9M 4.396 1.576 -282.0 -64.2%
1Y 4.500 1.585 -291.5 -64.8%
  • 概括:在近11年的观察期内,所有期限的SHIBOR利率均大幅下行。期限越长,下行幅度越大。整体利率水平从期初的较高位置(曲线陡峭)降至当前的历史低位(曲线平坦),反映了中国经济增速换挡、货币政策周期转向宽松的长期趋势。

特定事件窗口(2020年疫情初期)

数据中包含2020年1月23日(春节前)及之后的月份数据,可观察疫情冲击影响。

  • 事件前(2020-01-23): 3M SHIBOR为2.858%, 1Y SHIBOR为2.995%。
  • 事件后(2020-04-30): 3M SHIBOR骤降至1.400%, 1Y SHIBOR降至1.683%。
  • 变化分析
    • 水平变化:3个月内,3M利率大幅下降145.8 BP,1Y利率下降131.2 BP,央行果断加大宽松力度以应对疫情冲击。
    • 波动性变化:2020年2月至4月期间,O/N利率涨跌幅的波动显著加剧,标准差远高于序列平均水平,反映了市场流动性预期急剧变化下的剧烈波动。

5. 相关性分析

计算各期限SHIBOR定价之间的相关系数矩阵(基于全部110个样本),关键发现如下:

  • 整体高度相关:所有期限利率两两之间的相关系数均高于 0.85,表明整个收益率曲线的变动方向具有高度一致性。
  • 短端与长端的联动
    • O/N与1Y的相关系数为 0.88
    • 1W与1Y的相关系数高达 0.97
    • 这表明短期利率(尤其是1W)的变动能非常有效地传递至长端
  • 最同步的期限3M、6M、9M、1Y这四个期限之间的相关系数均超过 0.99,几乎完全同步变动,构成了曲线中长端的“核心联动区”。

6. 综合解读与潜在信号

流动性状况推断

  • 水平:当前O/N(1.319%)与1W(1.412%)利率处于历史数据(自2015年)的绝对低位(分别位于最低10%和5%分位数附近),表明银行间市场流动性极为充裕
  • 稳定性:尽管O/N利率历史波动较大,但近期(2025年下半年以来)其涨跌幅绝对值多数时间保持在10BP以内,显示在充裕的流动性环境下,短期资金面的稳定性较高

市场预期洞察

  • 曲线极度平坦(1Y-3M利差仅3BP):这通常暗示市场认为:
    1. 短期资金面:预期央行将维持当前宽松的流动性环境,短期利率无上行风险。
    2. 中长期经济与通胀前景:预期经济增长动力和通胀压力较弱,不足以推动长端利率显著高于短端利率。市场对长期前景的看法偏谨慎。
  • 曲线形态的长期平坦化:自2021年以来的持续平坦化,可能反映了市场对中国经济进入中低速增长阶段、货币政策维持稳健偏宽松的长期预期。

风险提示

  1. 曲线平坦化风险:收益率曲线长期极度平坦,甚至偶尔倒挂,可能预示着市场对中长期经济前景的悲观预期,需关注经济增长动能。
  2. 利率低位突破风险:多数期限利率已处于近十年来的低位区间。若未来因通胀回升、政策转向或信用事件导致利率快速上行,可能对已适应低利率环境的资产价格产生冲击。
  3. 流动性预期逆转风险:虽然当前短期利率稳定在低位,但其高波动性的属性未变。一旦市场对央行货币政策基调的预期发生转变,O/N等短端利率可能迅速反应并大幅波动,成为市场调整的触发因素。

第五章:分析图解

1_SHIBOR基本统计
1_SHIBOR基本统计
2_收益率曲线对比
2_收益率曲线对比
3_利差历史演变
3_利差历史演变
4_关键期限利率趋势
4_关键期限利率趋势
5_波动性分析
5_波动性分析
6_相关性矩阵
6_相关性矩阵
7_期初期末对比
7_期初期末对比
8_全期限利率热力图
8_全期限利率热力图
shibor_boxplot
shibor_boxplot
shibor_recent_trend
shibor_recent_trend
shibor_scatter
shibor_scatter
shibor_term_spread
shibor_term_spread
shibor_time_series
shibor_time_series
shibor_trend
shibor_trend
shibor_volatility
shibor_volatility
SHIBOR_利率走势
SHIBOR_利率走势
SHIBOR_商业洞察总结
SHIBOR_商业洞察总结
SHIBOR_期限结构与波动性
SHIBOR_期限结构与波动性
SHIBOR_近期趋势分析
SHIBOR_近期趋势分析
summary_statistics
summary_statistics
volatility_analysis
volatility_analysis
yield_curve
yield_curve